|
Number Shapes

Years 1 - 8 |
Summary
Draw a shape - let's say a square - and put a number inside it. Now find four numbers (one for each corner) that will add to the inside number. Suitable for threading.
Materials
- Large scrap paper (at least A4) & markers - pencils/pens are OK, but they are not so much fun to use
- One calculator per child
- One Poly Plug per child
|
|
Note: This investigation has been included in Maths At Home. In this form it has fresh context and purpose and, in some cases, additional resources. Maths At Home activity plans encourage independent investigation through guided 'homework', or, for the teacher, can be an outline of a class investigation.
- Visit the Home Page for more Background.
- For this specific activity click the Learners link and on that page use Ctrl F (Cmd F on Mac) to search the task name.
Acknowledgement
Calculating Changes has permission to reproduce any sections of the CAN Report which will help achieve its objective of enhancing children's number sense. The text in Procedure is verbatim from pages 12, 13. This activity indicates the rich contribution the report offers Calculating Changes members.
Procedure
When young children first start to work on CAN, the following activity,
invented by a teacher, is a popular one:
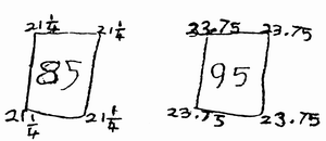
- Put a number inside a square.
- Then put a number at each corner of the square so that the four 'corner' numbers add up to the number in the square.
|
|
Content
Listed alphabetically.
Primary content in bold.
- operations - whole number
- place value
- problem solving
- recording - written
- visual & kinaesthetic representation of number
- writing numerals
|
Variations
These variations on the Number Shapes activity have been developed by Calculating Changes teachers.
- Make any number of gaps in the red Poly Plug board. Store the
plugs in the plastic bag so you don't lose them. Remove the same
number of plugs from the yellow/blue board. Arrange the
yellow/blue plugs at each corner of the red board. Draw a picture.
Record a sum showing how the plugs combine to make the number of
gaps. Can you check your sum? Can you check your sum another way?
- Repeat Variation 1 as a team of four (each contributing a
board to make 2 x 2 square) and using numbers up to 100.
- Continue Sara's idea and use other shapes.
- Whatever shape is used, require that each of the corner
numbers is the same.
- Whatever shape is used require that the product of the
'corner' numbers is the number inside the shape.
Extensions
The following examples from the C.A.N. report suggest how far children can develop this activity.

Figure 3.12, Page 22 CAN Report

Figure 3.13, Page 22 CAN Report |

Figure 4.15, Page 31 CAN Report |
Members can access an extension activity titled Box Hunt which builds on these ideas.

Return to Calculating Changes
Activities
Calculating Changes ... is a division of ... Mathematics Centre
|